M3 vs 997GT3 vs Nissan GT-R

Discussione in 'BMW ///M POWER' iniziata da Tonyriskio, 25 Febbraio 2008.

  1. ilmarzo

    ilmarzo Amministratore Delegato BMW

    4.804
    124
    2 Febbraio 2007
    Reputazione:
    21.476.638
    un paio
    strano, cmq questo potrebbe spiegare come mai le consegne delle versioni normali sono slittate a settembre 2009, in contemporanea a quelle con il navi
     
  2. tretrecinque

    tretrecinque Presidente Onorario BMW Top Reference

    21.592
    9.920
    12 Novembre 2007
    Lazio, Roma
    Reputazione:
    2.147.477.739
    X3M competition
    Sì, infatti inizialmente era previsto come optional anche il Sony Pack, ora per problematiche legate alla produzione (a detta del venditore) è tutto di serie, ovviamente è aumentato il prezzo :wink:
     
  3. registernow1

    registernow1 Kartista

    237
    7
    11 Giugno 2008
    Reputazione:
    76
    Nissan Note, Navara, GT-R, LR3
    Scusate... faccio un pò di chiarezza.
    1° il venditore è confuso, ma moooooooolto!
    Sony pack??? sta sbandatoooooooo! Andate e punitelo.
    Allora le prime consegne di GT-R sono per maggio 2009, da subito sarà equipaggiata con il mutifuncion meter,(quello nella mia firma) e sistema audio basato su HD. Da SETTEMBRE sarà disponibile anche il navigatore satellitare....ma di serie. Il prezzo che vedete sul sito è relativo alla vettura in configurazione settembre 2009.
    2° il tempo della GT-R al ring è di 7'29''03''', la GT-R V Spec andrà mooolto + forte, forse la mettono in commercio dal 2010...e avrà 550 HP prezzo 100k€..cofano, portiere e altro in carbonio...
    Se volete info domandate a me...e non ha venditori seghe....!
     
  4. Masamune

    Masamune Presidente Onorario BMW

    10.396
    615
    13 Maggio 2007
    Reputazione:
    159.238
    Volkswagen Santana 3000

    ...ho come l'impressione che tra un annetto cambierai la macchina, vero? :mrgreen: =D>
     
  5. 996GT3

    996GT3 Presidente Onorario BMW

    20.667
    863
    11 Novembre 2005
    Reputazione:
    21.555.059
    330i E91 Attiva, Mini One D
    E nel 2011 la Nissan va sulla Luna?
     
  6. registernow1

    registernow1 Kartista

    237
    7
    11 Giugno 2008
    Reputazione:
    76
    Nissan Note, Navara, GT-R, LR3
    Per semplicità credo sia meglio limitare il discorso al solo valore del coefficente di penetrazione aerodinamica CX=0,27,
    senza entrare nel merito di cercare di analizzare tutte le altre complesse componenti che intervengono nel moto dei corpi in un fluido l'aria.

    Attriti meccanici, resistenza di forma, portata d'aria sotto la vettura in fnz della velocità di avanzamento (deportanza o effetto suolo) dipendente dal nà di Reinolds..ecc ecc...
     
  7. Nicola Spinazzola

    Nicola Spinazzola Presidente Onorario BMW

    16.514
    820
    7 Febbraio 2007
    Reputazione:
    28.019.918
    Alpine A110 Pure
    Sai perchè si chiama Scx, perchè la S sta per superficie frontale, se tu prendi una pullman con un coeficiente cx di 0,27, non chè sia molto aerodinamico, perchè quella S è enorme.:wink:

    La Nissan dichiara un ottimo cx ma ha una superficie frontale molto elevata, quindi consuma parecccio in velocità e fatica lo stesso a fendere l'aria nonostante l'ottimo cx.

    Non c'è bisogno di disturbare la portanza.:mrgreen:
     
  8. registernow1

    registernow1 Kartista

    237
    7
    11 Giugno 2008
    Reputazione:
    76
    Nissan Note, Navara, GT-R, LR3
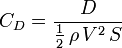
    Il coefficiente di resistenza aerodinamica (anche noto con i simboli CD o Cx)

    [​IMG]
    in cui
    D è la resistenza aerodinamica
    ρ è la densità del fluido
    CD è il coefficiente di resistenza aerodinamica
    S è l'area di riferimento
    V è il modulo velocità del corpo rispetto al fluido indisturbato.

    Come puoi vedere il valore della superficie frontale compare al denominatore in questa formula, è la tua "S" !
    Un pulman non potra mai avere un CX pari a 0,27 perchè la sua D (resistenza aerodinamica ) sarà molto grande rispetto al denominatore!!!!!!!

    Su wikipedia c'è tutto, ma il copia incolla non funziona semre....

    http://it.wikipedia.org/wiki/Coefficiente_di_resistenza_aerodinamica
     
  9. Nicola Spinazzola

    Nicola Spinazzola Presidente Onorario BMW

    16.514
    820
    7 Febbraio 2007
    Reputazione:
    28.019.918
    Alpine A110 Pure

    La formula giusta che misura la resistenza dell'aria in maniera semplificata senza contare le turbolenze e la deportanza é:
    F (resistenza dell'aria)= K (costante)* Cx (coeficiente di penetrazione)* S (superficie frontale)* v2 (velocità di avanzamento del veicolo) adesso capisci bene quanto è importante la superficie frontale. Sempre a titolo di esempio, la M3 ha un Scx di 0,668.
     
  10. registernow1

    registernow1 Kartista

    237
    7
    11 Giugno 2008
    Reputazione:
    76
    Nissan Note, Navara, GT-R, LR3
    Analisi Aerodinamica di una vettura.

    Riepilogando:

    una volta determinato il Cx,
    Il coefficiente di resistenza aerodinamica (anche noto con i simboli CD o Cx)

    [​IMG]
    in cui
    D è la resistenza aerodinamica
    ρ è la densità del fluido
    CD è il coefficiente di resistenza aerodinamica
    S è l'area di riferimento
    V è il modulo velocità del corpo rispetto al fluido indisturbato.

    Si calcola la resistenza all'avanzamento del mezzo:
    resistenza all'avanzamento nell'aria di un corpo

    F = K Cx S (V)2
    F (resistenza dell'aria)
    K (costante di proporzionalità)
    Cx (coeficiente di penetrazione aerodinamica)
    S (superficie frontale)
    (V)2 (velocità al quadrato di avanzamento del veicolo)

    Appena sono + lucido calcolo anche io la resistenza all'avanzamento per la GT-R.
    Comunque visto che è un prodotto se il CX assume un valore già basso, a parità di S, F sarebbe comunque minore.

    http://www.quattroruote.it/tecnica/Spiegazione.cfm?Codice=321

    Caratteristiche dello Spoiler Posteriore
    http://www.deamodellab.it/frontend/dett.asp?CatKey=ASS&ContID=116&ProdID=4
     
    Ultima modifica di un moderatore: 14 Giugno 2008
  11. Nicola Spinazzola

    Nicola Spinazzola Presidente Onorario BMW

    16.514
    820
    7 Febbraio 2007
    Reputazione:
    28.019.918
    Alpine A110 Pure

    Esatto, ma chi ha già visto la GT-R mi ha detto che enorme, presto ti saprò dire se è effettivamente così imponente come me l'hanno descritta.:cool:
     
  12. registernow1

    registernow1 Kartista

    237
    7
    11 Giugno 2008
    Reputazione:
    76
    Nissan Note, Navara, GT-R, LR3
    Tranquillo te lo saprò dire pure io.....a quale High performance center vai a vederla?
     
  13. Nicola Spinazzola

    Nicola Spinazzola Presidente Onorario BMW

    16.514
    820
    7 Febbraio 2007
    Reputazione:
    28.019.918
    Alpine A110 Pure
    Spero che mi confermino Roma.
     
  14. registernow1

    registernow1 Kartista

    237
    7
    11 Giugno 2008
    Reputazione:
    76
    Nissan Note, Navara, GT-R, LR3
    Allora ci vediamo li...te l'hai ordinata?
     
  15. Nicola Spinazzola

    Nicola Spinazzola Presidente Onorario BMW

    16.514
    820
    7 Febbraio 2007
    Reputazione:
    28.019.918
    Alpine A110 Pure
    Sono un accompagnatore, vado a conoscere il nemico per poterlo sfidare:mrgreen::mrgreen::mrgreen:
     
  16. tretrecinque

    tretrecinque Presidente Onorario BMW Top Reference

    21.592
    9.920
    12 Novembre 2007
    Lazio, Roma
    Reputazione:
    2.147.477.739
    X3M competition
    No, l'ho ordinata io :wink:
    Tu l'hai ordinata?
     
  17. registernow1

    registernow1 Kartista

    237
    7
    11 Giugno 2008
    Reputazione:
    76
    Nissan Note, Navara, GT-R, LR3
    Tu che dici?

    [​IMG]
     
  18. Andrew///M3

    Andrew///M3 Presidente Onorario BMW

    20.318
    960
    30 Maggio 2006
    Reputazione:
    39.485.688
    M2C,X3G01Msport 3.0d; Porsche 991GT3 cup

    :lol::lol::lol::lol::lol:
     
  19. tretrecinque

    tretrecinque Presidente Onorario BMW Top Reference

    21.592
    9.920
    12 Novembre 2007
    Lazio, Roma
    Reputazione:
    2.147.477.739
    X3M competition
    Non lo so, penso di si, a me hanno dato un altro tipo di astuccio, forse erano finiti :confused:
     
  20. 996GT3

    996GT3 Presidente Onorario BMW

    20.667
    863
    11 Novembre 2005
    Reputazione:
    21.555.059
    330i E91 Attiva, Mini One D
    Certo che come packaging rende l'idea di tutto tranne che del lusso.
    Non so manco cosa sia, una scatola di fusibili? Sono i gadget avanzati tra quelli che regalavano alle feste dell'Unità?
     

Condividi questa Pagina